Off-Axis Parabolic (OAP) Mirror Design Specifications

The off-axis parabolic mirror (OAP Mirror) mirrors produce perfect focus points for collimate light beams and are widely used in advanced optical systems that for meeting increasingly stringent performance requirements. The design specifications of OAP Mirrors are key elements that significantly affect manufacturing costs and the overall performance of these systems. To standardize the design and specification process of OAP Mirrors, Avantier plans to release a series of technical resources to enhance understanding and streamline the process.
Geometry of OAP Mirror
The diagram below shows the basic geometry of the off-axis parabola mirror.
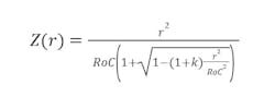
The “sag” or z-coordinate of the Standard surface is given by
where
- RoC: parent radius of curvature at the parent vertex
- k: conic constant, is less than -1 for hyperbolas, -1 for parabolas, between -1 and 0 for ellipses, 0 for spheres, and greater than 0 for oblate ellipsoids.
- r: distance to the parent axis
- Off-Axis Angle: angle between parent axis and segment
- Z: surface sag in parent z axis
For OAP Mirror, k=-1, the equation is reduced to:
Typically, the beam’s aperture, which can be either circular or square, is oriented along the Z axis. The actual size of the aperture on the optics’ surface may appear elliptical or rectangular, depending on the off-axis angle.
For optics with large off-axis angles or apertures, opting for a non-wedge design becomes a more cost-effective solution. In this design, a tilt angle can be specified relative to the parent Z axis.
Off-axis parabolic mirrors (OAP Mirrors) can be manufactured from various materials, including metals (using single-point diamond turning), glass, and specialized ceramics like SiC. The choice of material significantly influences the overall cost and precision. Avantier’s application engineers are on hand to assist you in selecting the most suitable material and surface quality for your specific application.
Avantier offers a range of coating options tailored to your chosen material, including metallic coatings such as protected aluminum or dielectric coatings designed to withstand high laser damage thresholds.
Designing optics with built-in alignment features to streamline final integration is an essential strategy. Avantier’s application engineers will guide you in defining manufacturing and metrology-friendly alignment features.



